Here is some of our work:

Camphor surfers exhibit collective bursting
Leoni M., Paoluzzi M., Dumaup C. A., Movagharnemati F., Nguyen-Leon L, Nguyen T., Eldeen S., Ahmed W. W. (2025)
Macroscopic active matter under confinement: dynamical heterogeneity, bursts, and glassy behavior in a few-body system of self-propelling camphor surfers
arXiv.2511.02506 [link]

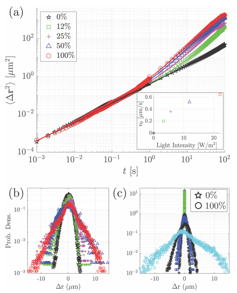
Unsupervised AI can identify biofilm formation
Pérez Guerrero D., Manuel Antúnez Domínguez J., Vigne A., Midtvedt D., Ahmed W. W., Muiznieks L. D., Volpe G., Beck Adiels, C. (2025)
Latent Space-Driven Quantification of Biofilm Formation using Time Resolved Droplet Microfluidics
arXiv.2507.07632 [link]

Putting enzymes on DNA origami
Murphy, I., Bobilev, K., Hayakawa, D., Ikonen, E., Videbæk, T. E., Dalal S., Ahmed, W. W., Ross, J. L, Rogers, W. B. (2025)
A method for site-specifically tethering the enzyme urease to DNA origami with sustained activity
PLOS One, 20(4), e0319790. (2025) [link]

Inertia can hide activity
Arredondo, A., Calavitta, C., Gomez, M., Mendez-Villanueva, J., Ahmed, W. W., & Brubaker, N. D. (2024).
Inertia suppresses signatures of activity of active Brownian particles in a harmonic potential.
Physical Review E, 109(3), 034405. (2024) [link]


An active bath transfers energy and can thin/thicken
Authors: Seyforth, H., Gomez, M., Rogers, W. B., Ross, J. L., & Ahmed, W. W.
Nonequilibrium fluctuations and nonlinear response of an active bath.
Physical review research, 4(2), 023043. (2022) [link]

Stochastic forces show complex patterns in micro swimmers
Authors: Jones, C., Gomez, M., Muoio, R. M., Vidal, A., Mcknight, R. A., Brubaker, N. D., & Ahmed, W. W. (2021).
Stochastic force dynamics of the model microswimmer Chlamydomonas reinhardtii: Active forces and energetics.
Physical Review E, 103(3), 032403. (2021) [link]

Inertial active particles bounce and weave
Authors: Leoni, M., Paoluzzi, M., Eldeen, S., Estrada, A., Nguyen, L., Alexandrescu, M., Sherb, K., & Ahmed, W. W. (2020).
Surfing and crawling macroscopic active particles under strong confinement: Inertial dynamics.
Physical Review Research, 2(4), 043299. (2020) [link]

Passive objects are centered just like the nucleus
Authors: Colin, A., Letort, G., Razin, N., Almonacid, M., Ahmed, W., Betz, T., Terret, M. E., Gov, N. S., Voituriez, R., Gueroui, Z. & Verlhac, M. H.
Active diffusion in oocytes nonspecifically centers large objects during prophase I and meiosis I.
Journal of Cell Biology, 219(3). (2020) [link]

Small activity is still measurable (~kBT/s)
Authors: Eldeen, S., Muoio, R., Blaisdell-Pijuan, P., La, N., Gomez, M., Vidal, A., & Ahmed, W.
Quantifying the non-equilibrium activity of an active colloid.
Soft matter, 16(31), 7202-7209. (2020) [link]


Myosin-II somehow affects cargo transport
Authors: Posey, D., Blaisdell-Pijuan, P., Knoll, S. K., Saif, T. A., & Ahmed, W. W. (2018).
Small-scale displacement fluctuations of vesicles in fibroblasts.
Scientific reports, 8(1), 13294. (2018) [link]

Violation of FDT shows molecular motor kicking
Authors: Ahmed, W. W., Fodor, É., Almonacid, M., Bussonnier, M., Verlhac, M. H., Gov, N., Visco, P. van Wijland, F. & Betz, T.
Active mechanics reveal molecular-scale force kinetics in living oocytes.
Biophysical journal, 114(7), 1667-1679. (2018) [link]

Dissipation spectrum quantifies injected energy
Authors: Fodor, É., Ahmed, W. W., Almonacid, M., Bussonnier, M., Gov, N. S., Verlhac, M. H., Betz, T., Visco, P. & van Wijland, F.
Nonequilibrium dissipation in living oocytes.
Europhysics Letters, 116(3), 30008. (2016) [link]


Cells relax when illuminated
Authors: Knoll, S. G., Ahmed, W. W., & Saif, T. A.
Contractile dynamics change before morphological cues during fluorescence illumination.
Scientific reports, 5(1), 18513. (2015) [link]

Cells are far from mechanical equilibrium
Authors: Ahmed, W. W., Fodor, É., & Betz, T.
Active cell mechanics: Measurement and theory.
Biochimica et Biophysica Acta (BBA)-Molecular Cell Research, 1853(11), 3083-3094. (2015) [link]

Cells are fluids and solids
Authors: Ahmed, W. W., & Betz, T.
Dynamic cross-links tune the solid–fluid behavior of living cells.
Proceedings of the National Academy of Sciences, 112(21), 6527-6528. (2015) [link]

Active fluctuations push the nucleus
Authors: Almonacid, M., Ahmed, W. W., Bussonnier, M., Mailly, P., Betz, T., Voituriez, R., Gov, N. S., & Verlhac, M. H. (2015).
Active diffusion positions the nucleus in mouse oocytes.
Nature cell biology, 17(4), 470-479. (2015) [link]

Stretch increases active transport in neurons
Authors: Ahmed, W. W., & Saif, T. A.
Active transport of vesicles in neurons is modulated by mechanical tension.
Scientific reports, 4(1), 4481. (2014) [link]

Alginate glues hydrogels to PDMS
Authors: Cha, C., Antoniadou, E., Lee, M., Jeong, J. H., Ahmed, W. W., Saif, T. A., Boppart, S. A., & Kong, H. (2013).
Tailoring hydrogel adhesion to polydimethylsiloxane substrates using polysaccharide glue.
Angewandte Chemie International Edition, 52(27). (2013) [link]

Statistical mechanics reveals activity in vesicle motion
Authors: Ahmed, W. W., Williams, B. J., Silver, A. M., & Saif, T. A.
Measuring nonequilibrium vesicle dynamics in neurons under tension.
Lab on a Chip, 13(4), 570-578. (2013) [link]

Pieces of the heart beat differently
Authors: De Souza, E. J., Ahmed, W., Chan, V., Bashir, R., & Saif, T. (2013).
Cardiac myocytes’ dynamic contractile behavior differs depending on heart segment.
Biotechnology and bioengineering, 110(2), 628-636. (2013) [link]

Tension affects neuronal memory?
Authors: Ahmed, W. W., Rajagopalan, J., Tofangchi, A., & Saif, T. A.
Neuromechanics: the role of tension in neuronal growth and memory.
Nano and cell mechanics: fundamentals and frontiers, 35-61. (2013) [link]

Cells dynamically reorient
Authors: Ahmed, W. W., Kural, M. H., & Saif, T. A.
A novel platform for in situ investigation of cells and tissues under mechanical strain.
Acta biomaterialia, 6(8), 2979-2990. (2010) [link]

Cells align with mechanical strain
Authors: Ahmed, W. W., Wolfram, T., Goldyn, A. M., Bruellhoff, K., Rioja, B. A., Möller, M., Spatz, J. P., Saif, T. A., Groll, J., & Kemkemer, R. (2010).
Myoblast morphology and organization on biochemically micro-patterned hydrogel coatings under cyclic mechanical strain.
Biomaterials, 31(2), 250-258. (2010) [link]
“Who needs mythology when reality is so unreal?”
Yanis Varoufakis in Another Now
